Vlnová optika
Optika sa zaoberá svetlom.
Svetlo je viditeľné elektromagnetické vlnenie. Duálny charakter svetla znamená, že sa prejavuje ako častica alebo ako vlnenie. Na jeho opis používame veličiny:
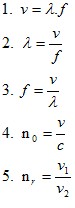
- frekvencia f [Hz]
- rýchlosť v [m/s], [km/s]
- rýchlosť svetla vo vákuu c = 300 000 000 m/s
- vlnová dĺžka
- lambda [m], [nm] - absolútny index lomu n0 [ ]
- relatívny index lomu nr [ ]
Schopnosť vnímať svetlo je individuálna. Vlnová dĺžka svetla je približne od 390 nm po 790 nm. Frekvencia svetla sa pohybuje približne od 3,8 . 1014 Hz po 7,7 . 1014 Hz.

Medzi fyzikálnymi veličinami na opis svetla platia vzťahy (vzorce):

Zdrojom svetla nazývame teleso, ktoré vysiela svetlo. Zdroje svetla rozdeľujeme na:
- priame – vysielajú vlastné svetlo (slnko)
- nepriame – odrážajú svetlo iného telesa (mesiac)
- prirodzené – vznikli bez zásahu človeka (hviezdy)
- umelé – vytvorené človekom (žiarovka)
- odraz svetla – svetlo sa vracia do prvého prostredia tak, že uhol dopadu sa rovná uhlu odrazu, odrazený svetelný lúč sa nachádza v rovine dopadu určenej dopadajúcim lúčom a kolmicou na rozhranie prostredí (Zákon odrazu)
- lom svetla – svetlo prechádza do druhého prostredia v zmenenom smere tak, že podiel sínusov uhla dopadu a uhla lomu sa rovná podielu rýchlostí v prvom a druhom prostredí
- lom ku kolmici – uhol dopadu je väčší ako uhol lomu, nastáva vtedy, keď rýchlosť svetla v prvom prostredí je väčšia ako v druhom prostredí (svetlo prechádza z prostredia opticky redšieho do hustejšieho)
- lom od kolmice – uhol dopadu je menší ako uhol lomu, nastáva vtedy, keď rýchlosť svetla v prvom prostredí je menšia ako v druhom prostredí (svetlo prechádza z prostredia opticky hustejšieho do redšieho)
- totálny odraz – nastáva pri prechode svetla z prostredia opticky hustejšieho do redšieho vtedy, keď je uhol dopadu väčší ako medzný uhol. Ak zväčšujeme uhol dopadu, zväčšuje sa aj uhol lomu. Pri medznom uhle dopadu svetlo neprechádza do druhého prostredia, ale postupuie po rozhraní. Pri väčšom uhle dopadu sa žiadna časť svetla neláme, len sa odráža do prvého prostredia a tomu javu hovoríme totálny odraz.
3. absorbcia svetla – svetlo je pohlované prostredím, ktorým prechádza
Rozklad svetla
V prírode sa rozkladá svetlo na kvapkách vody. Ak je slnko nad obzorom pod uhlom menším ako 48ْ a vo vzduchu sú kvapky vody, tak vzniká dúha . Slnečné svetlo sa rozloží na farebne pásy pričom každej farbe odpovedá patričná frekvencia .
V praxi zisťujeme možnosť rozloženia svetla pomocou optického hranola. Ak svetlo po prechode optickým hranolom zachováva svoju farbu nazývame ho monochromatické (jednofarebné ). Ak sa svetlo po prechode optickým hranolom rozloží na farebné pásy nazývame ho zložené . Farebné vnímanie môže byť vyvolané predovšetkým tým, že predmet časť slnečného žiarenia pohltí a naše oko zachytí tú farebnú časť svetla, ktorú teleso odrazí. Farebnosť predmetov môže byť spôsobená aj ďalšími svetelnými javmi.

Interferencia svetla
- striedanie pásov jasných a tmavých alebo farebných na miestach do ktorých sa dostalo svetlo priamočiarym šírením.
- nastáva vtedy ak sa stretnú dva koherentné lúče po priamočiarom šírení. Koherentné lúče majú rovnakú frekvenciu a stály fázový rozdiel.
- pozorujeme na olejových škvrnách, mydlových bublinách, motýlích krídlach, pri kalení ocele.
- laboratórne skúmame na Newtonových sklách.
Ak sa dráhový rozdiel koherentných lúčov rovná celočíselnému násobku vlnovej dĺžky nastáva interferenčné maximum (zosilnenie svetla):
![]()
Ak sa dráhový rozdiel koherentných lúčov rovná nepárnemu násobku polovice vlnovej dĺžky, nastáva interferenčné minimum:
![]()
n [ ] – index lomu, Δs [m] – dráhový rozdiel, λ [m] – vlnová dĺžka

Ohyb svetla
- striedanie farebných alebo jasných a tmavých pásov na miestach do ktorých sa nedostalo svetlo priamočiarym šírením.
- pozorujeme prechodom svetla cez medzery v lístí alebo ihličí ...
- laboratórne skúmame za tenkým drôtom, za štrbinou.
Ohybové maximum:
![]()
Ohybové minimum:
λ [m] – vlnová dĺžka, d [m] – vzdialenosť medzi medzerami
Polarizácia svetla
- svetlo je priamočiare elektromagnetické vlnenie .V nepolarizačnom svetle sa dejú zmeny v el. poľa a magnetického poľa všetkými smermi. V čiastočne polarizačnom svetle – v jedno smere sa zmeny el. poľa a magnetického poľa deju často. V polarizovanom svetle sa deju zmeny elektrického poľa a magnetického poľa len v jednom smere. Prirodzené zdroje vysielajú nepolarizovanom svetle. Polarizácia vznikne odrazom, lomom, dvojlomom. Využívame ju na zistenie koncentrácii roztokov a na zistenie porúch v materiáli.


