Základy fyzikálneho merania
Časti fyziky sa zaoberajú:
- Mechanika – najjednoduchším pohybom.
- Molekulová fyzika a termodynamika – teplom
- Kmitanie. vlnenie, akustika – zvukom.
- Elektrina a magnetizmus – elektrickými nábojmi.
- Optika – svetlom.
- Fyzika elektrónového obalu a atómového jadra – zmenami vo vnútri atómov.
- Špeciálna teória relativity – javmi s malou hmotnosťou (podstatne menšou ako hmotnosť Slnka) a veľkou rýchlosťou (porovnateľnou s rýchlosťou svetla vo vákuu).
- Astrofyzika – vesmírnymi objektmi.
Fyzikálne veličiny
Fyzikálnou veličinou nazývame takú vlastnosť objektov, ktorá sa dá zmerať. Výsledok merania zapisujeme v tvare:
m = 2 kg
F = 5 N
značka fyzikálnej veličiny nameraná hodnota fyzikálna jednotka
Ak na jednoznačné určenie fyzikálnej veličiny potrebujeme aj smer, nazývame ju vektor. Skalár potrebuje na jednoznačné určenie len značku a jednotku.
Vektory znázorňujeme orientovanou úsečkou.
Úloha 1: Nakreslite v mierke 1 N ~ 1 cm v rôznych smeroch sily s veľkosťou
F1 = 3 N, F2 = 5 N, F3 = 6 N, F4 = 7 N, F5 = 9 N
Medzinárodná sústava jednotiek
V minulosti používali ľudia pri meraní rôzne jednotky (merica, lakeť, stopa, od buka do buka, ...). Od roku 1977 naša krajina uzákonila vyjadrovanie meraní podľa Medzinárodnej sústavy jednotiek označovanej SI (Systéme International d´Unités). Druhy jej jednotiek sú :
- Základné
Zavedenie základných jednotiek
Jednotka |
Značka jednotky |
Veličina |
Značka veličiny |
meter |
m |
dĺžka |
l |
kilogram |
kg |
hmotnosť |
m |
sekunda |
s |
čas |
t |
ampér |
A |
elektrický prúd |
I |
kelvin |
K |
termodynamická teplota |
T |
mol |
mol |
látkové množstvo |
n |
kandela |
cd |
svietivosť |
E |
- Doplnkové
Jednotka |
Značka jednotky |
Veličina |
Značka veličiny |
radián |
rad |
rovinný uhol |
j |
steradián |
sr |
priestorový uhol |
a |
- Odvodené
- vznikli zo základných jednotiek pomocou definičných vzťahov.
Napríklad meter štvorcový m2 je jednotkou plochy. Obsah štvorca počítame podľa vzťahu
S = a . a
Jednotku plochy odvodíme tak, že dosadíme do toho vzťahu jednotky dĺžky
[S] = m . m = m2
Newton je jednotkou sily. Jej odvodenie si ukážeme na patričnom mieste.
Dovolené
- do SI nepatria, ale v praxi a vede sú bežne používané, preto ich právna norma toleruje (liter, stupeň Celzia, metrický cent, tona, minúta, hodina, deň, mesiac, rok, uhlový stupeň, uhlová minúta, uhlová sekunda, astronomická jednotka, parsek).
Niektoré násobky a diely jednotiek SI sú uvedené v tabuľke
Značka |
Názov predpony |
Násobok, diel |
Mocnina čísla 10 |
p |
piko |
bilióntina |
10-12 |
n |
nano |
miliardatina |
10-9 |
m |
mikro |
milióntina |
10-6 |
m |
mili |
tisícina |
10-3 |
c |
centi |
stotina |
10-2 |
d |
deci |
desatina |
10-1 |
D |
deka |
desať |
101 |
h |
hekto |
sto |
102 |
k |
kilo |
tisíc |
103 |
M |
mega |
milión |
106 |
G |
giga |
miliarda |
109 |
T |
tera |
bilión |
1012 |
Každá krajina sa môže rozhodnúť, akú sústavu fyzikálnych jednotiek budú jej občania používať.
Úloha 2:
- Uveďte príklady krajín, ktoré používajú aj iné jednotky ako naša krajina
- Povedzte, s akými zastaralými jednotkami ste sa stretli
- Vymenujte druhy fyzikálnych jednotiek sústavy SI
- Vymenujte aspoň 4 predpony pre diely fyzikálnych veličín
- Vymenujte aspoň 5 predpôn pre násobky fyzikálnych veličín
- Vysvetlite, ako boli zavedené jednotky:
- meter
- liter
- kilogram
- uhlový stupeň
- sekunda
- meter za sekundu
Premena jednotiek
- Dĺžkové jednotky
1mm 1cm 1dm 1m 1km
- Plošné jednotky
1mm² 1cm² 1dm² 1m² 1a 1ha 1km²
- Kubické jednotky
1mm³ 1cm³ 1dm³ 1m³ 1km³
- Litrové jednotky
1ml 1cl 1dl 1l 1hl
- Jednotky hmotnosti
1mg 1g 1Dg 1kg 1q 1t
Ak premieňame na jednotku menšiu, číslo zväčšujeme.
Ak premieňame na jednotku väčšiu, číslo zmenšujeme.
- Jednotky času
1 s 1 min 1 hod
Časové jednotky sú v šesťdesiatkovej ústave. Jedna minúta má 60 sekúnd, jedna hodina má 60 minút.
- Jednotky rýchlosti
1 m/s 1 km/hod
Príklady:
2 km/hod = 2 : 3,6 m/s 3 m/s = 3 . 3,6 km/hod
= 0,56 m/s = 10,8 km/hod
60 km/hod = 60 : 3,6 m/s 50 m/s = 50 . 3,6 km/hod
= 16,67 m/s = 180 km/hod
Úloha 3:
- Premeňte na m/s
a) 36 km/hod b) 72 km/hod c) 108 km/hod d) 6 km/hod
e) 70 km/hod f) 90 km/hod g) 120 km/hod h) 300 km/hod
- Premeňte na km/hod
a) 40 m/s b) 50 m/s c) 60 m/s d) 35 m/s
e) 42 m/s f) 56 m/s g) 64 m/s h) 74 m/s
- Premeňte
a) 320 mm = cm b) 540 mm = m
c) 489,7 dm = mm d) 73,1 km = dm
Priebeh fyzikálneho merania
Zisťovanie hodnôt fyzikálnych veličín prebieha najčastejšie v troch etapách:
- Príprava merania
- Vlastné meranie
- Spracovanie výsledkov merania
Počas prípravy merania výskumník zvolí
- metódu poznávania
a) Pozorovanie – do skúmaného javu nezasahuje (zatmenie Slnka)
b) Pokus – pripraví si podmienky skúmaného javu a úmyselne niektoré
z nich mení (elektrický odpor drôtu rôznej dĺžky)
b) vo vzťahu k iným telesám s rovnakou vlastnosťou
ako je meraná veličina
- nezávislá – nepotrebujeme poznať rovnakú vlastnosť iného telesa (objem kvádra vypočítaný pomocou odmeraných rozmerov)
- porovnávajúca – potrebujeme poznať rovnakú vlastnosť iného telesa (hustotu pevného telesa určíme pomocou hustoty vytlačenej kvapaliny)
Po vykonaní vlastného merania nastáva spracovanie výsledkov merania.
Každé meranie je ovplyvnené chybami. Metódu merania môžeme zlepšiť, presnosť použitých prístrojov zvýšiť, prácu výskumníka cvikom vycibriť, ale náhodné chyby sa tým neodstránia. Ich vplyv zmierňujeme opakovaním merania.
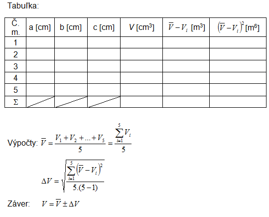
Laboratórna práca č.1
Názov: Určenie objemu pevného telesa
Úloha: Určiť objem pevného telesa pomocou odmeraných rozmerov
Pomôcky: pevné teleso, pravítko
Postup:
- Zmerať šírku, výšku a dĺžku kvádra
- Vypočítať objem kvádra
- Zopakovať 5 – krát
- Namerané a vypočítané hodnoty napísať do tabuľky
- Vyhodnotiť meranie