Postupnosti
Postupnosti
Charakteristika
Jednoznačné určenie
Druhy
Vzorce pre aritmetickú postupnosť
- Diferencia : Zoradenie reálnych čísel nazývame aritmetickou postupnosťou vtedy, ak existuje stály rozdiel (diferencia) medzi všetkými dvojicami po sebe nasledujúcich členov:
an+1-an=d
- Každý člen aritmetickej postupnosti môžeme vypočítať tak, že k prvému členu pripočítame násobok diferencií s poradím člena zmenšeným o 1
an=a1+(n-1)d
- Každý člen AP môžeme vypočítať tak, že k známemu členu pripočítame násobok difirencií s rozdielom poradia členov:
as=ar+(s-r)d
- Súčet prvých n členov AP vypočítame tak, že súčet prého a posledného člena vynásobíme ich polovičným počtom:
sn=(a1+an).n/2
Úloha č.1 : Sčítajte prirodzené čísla od 1 po 1000
Úloha č.2 : Sčítajte všetky párne prirodzené čísla menšie ako 500
Úloha č.3 : Vypočítajte , koľko metrov linoleového pásu je nevyhnuté na kartónovom valci s vonkajším priemerom 12 cm. Hrúbka linolea je 3 mm, navinutá vrstva má hrúbku 33 mm. Vytvorte tabuľku pre prvých
5 členov, určte vlastnosti.
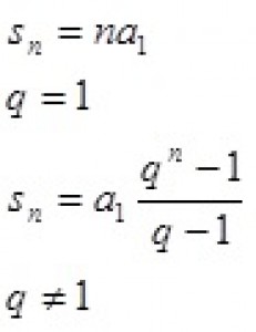
Vzorce pre geometrickú postupnosť
- Definícia: Zoradenie reálnych čísel nazývame geometrickou postupnosťou vtedy, ak existuje stály podiel (kvocient) medzi všetkými dvojicami po sebe nasledujúcich členom: an+1:an=q
- Každý člen geometrickej postupnosti môžeme vypočítať tak, že prvý člen vynásobíme mocninou kvocientu s exponentom o 1 menší, ako je poradie počítaného člena: an=a1qn-1
- Každý člen GP môžeme vypočítať tak, že známy člen postupnosti vynásobíme mocninou kvocientu s exponentom rovným rozdielu poradia počítaného a známeho člena GP: as=ar qs-r
- Súčet prvých n členov GP vypočítame tak, že použijeme vzorec pre prvý člen a mocninu kvocientu GP:

Úloha č. 1: Koľko baktérií môže vzniknúť pri 5-tom delení? (jedna sa rozdelí na dve)
Úloha č. 2: Koľko jadier uránu sa môže rozštiepiť pri 5-tom kroku reťazovej reakcie? (pri jednom štiepení sa uvoľnia 3 neutróny, ktoré môžu spôsobiť štiepenie 3 jadier uránu)
Úloha č. 3: Akú sumu budeme mať na termínovanom vklade s 3 mesačnou viazanosťou po 12 mesiacoch, ak sme vložili 2000€ s úrokom 4% ?
Úlohy- postupnosti
- Spočítajte všetky prirodzené čísla od 5 do 2 000.
- Koľko baktérií môže vzniknúť pri 4. – tom delení z 10 pôvodných? (Jedna sa rozdelí na dve)
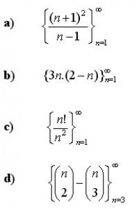
- Dopíšte nasledujúce tri členy postupností, vypočítajte súčet prvých 5 členov
a) 0, 2, 4, 6, 8, , , ,
b) 3, 5, 7, 9, 11, , , ,
c) 5, 10, 20, 40, 80 , , , ,
d) 729, 243, 81, 27, 3, , , , - Vypočítaj tretí, šiesty a deviaty člen postupnosti danej predpisom:

- Na koľko % -ný úrok treba uložiť sumu 10000 Є,
aby sme po piatich rokoch mali na účte 25 000 Є?
Riešenie:


