Bernoulliho rovnica
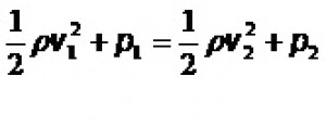
Zákon zachovania mechanickej energie ideálnej tekutiny pri ustálenom prúdení vo vodorovnej trubici vyjadruje Bernoulliho rovnica: Súčet tlakovej a kinetickej energie jednotkového objemu prúdiacej tekutiny je v ľubovoľnom priereze stály.

|
r – hustota tekutiny [kg/m3] v1 – rýchlosť tekutiny v prvom priereze [m/s] p1 – tlak tekutiny v prvom priereze [Pa] v2 – rýchlosť tekutiny v druhom priereze [m/s] p2 – tlak tekutiny v druhom priereze [Pa]
|
V užšej časti musí tekutina prúdiť s nižším tlakom.
Úloha č.1:
- Vo vodorovnej trubici prúdi voda rýchlosťou 4,48 m.s-1 a má tlak 0,3 MPa. Vypočítajte rýchlosť prúdenia vody v zúženom mieste trubice, kde sme namerali tlak 0,1 MPa
- Vypočítajte rýchlosť prúdenia vody vodorovnou trubicou s prierezom 5 cm2, keď v zúženom mieste s prierezom 1 cm2 sa tlak znížil o hodnotu 3 000 Pa
- Vypočítajte zmenu tlaku vody v potrubí s priemerom 2 cm, ktorým prúdi voda rýchlosťou 2,5 m.s-1, keď z dýzy s priemerom 1 cm vystrekuje rýchlosťou veľkosti 70 m.s-1

